- Банк заданий
- Биология
- Задание 12339
Задание №12339 ЕГЭ по Биологии
Тема : Методы биологии
Раздел: Биология как наука
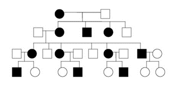
Рассмотрите таблицу «Методы генетики». Запишите в ответе пропущенный термин, обозначенный в таблице вопросительным знаком.
| Метод | Иллюстрация метода |
| Генеалогический | ![]() |
| ? | ![]() |


