- Банк заданий
- Химия
- Задание 74514
Задание №74514 ЕГЭ по Химии
Тема : Практическая химия
Раздел: Неорганическая химия
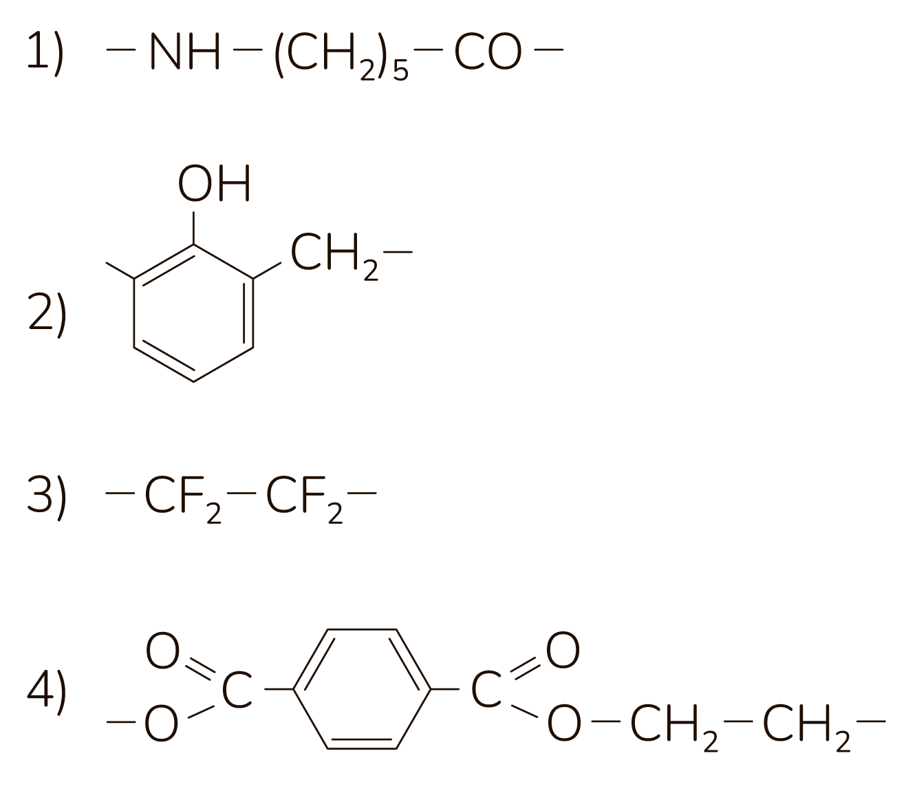
Установите соответствие между названием полимера и его структурным звеном: к каждой позиции, обозначенной буквой, подберите соответствующую позицию, обозначенную цифрой.
| ПОЛИМЕР А) капрон Б) лавсан В) тефлон | СТРУКТУРНОЕ ЗВЕНО ![]() |


