- Банк заданий
- Биология
- Задание 80169
Задание №80169 ЕГЭ по Биологии
Тема : ДНК. РНК. АТФ
Раздел: Биохимия клетки
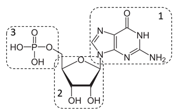
Как называется молекула, изображенная на рисунке? Мономером какого биополимера она является? Ответ аргументируйте, указав название моносахарида, обозначенного цифрой 2. В каком матричном процессе указанный биополимер образуется? Матрицей для синтеза какой макромолекулы является указанный биополимер?

