- Химия
- Авторские пробники от NeoFamily
- NeoFamily Химия. Пробник №31. ЕГЭ-2026
NeoFamily Химия. Пробник №31. ЕГЭ-2026
Определите, стабильные трехзарядные ионы каких из указанных в ряду элементов имеют восьмиэлектронную внешнюю оболочку.
1) Al 2) Fe 3) N 4) Mg 5) Si
Запишите номера выбранных элементов.
Из указанных в ряду химических элементов выберите три p-элемента.
Расположите выбранные элементы в порядке возрастания их атомного радиуса.
1) Al 2) Fe 3) N 4) Mg 5) Si
Запишите номера выбранных элементов в нужной последовательности.
Из числа указанных в ряду элементов выберите два элемента c наименьшей разностью между значениями их высшей и низшей степени окисления.
1) Al 2) Fe 3) N 4) Mg 5) Si
Запишите номера выбранных элементов.
Из предложенного перечня физических свойств выберите два, которые характерны для веществ с ионной кристаллической решеткой.
1) ковкость
2) летучесть
3) хрупкость
4) пластичность
5) высокая электропроводность в расплаве
Запишите номера выбранных ответов.
Среди предложенных формул и названий веществ, расположенных в пронумерованных ячейках, выберите формулу или название, соответствующее: А) комплексной соли; Б) основной соли; В) двойной соли.
|
1
глауберова соль |
2
K4[Fe(CN)6] |
3 |
|
4
алюминат калия |
5
малахит |
6
алюмокалиевые квасцы |
|
7
Ca(OCl)Cl |
8
N2O |
9
пиролюзит |
Даны две пробирки с раствором вещества X. В первую пробирку добавили соляную кислоту и отмечали выделение газа. Во вторую пробирку прилили раствор вещества Y и наблюдали изменение окраски раствора. Из предложенного перечня выберите вещества X и Y, которые могут вступать в описанные реакции.
1) карбонат кальция
2) гидроксид натрия
3) сульфат калия
4) хлорид бария
5) дихромат натрия
Установите соответствие между формулой вещества и реагентами, с каждым из которых это вещество может взаимодействовать: к каждой позиции, обозначенной буквой, подберите соответствующую позицию, обозначенную цифрой.
| ФОРМУЛА ВЕЩЕСТВА А) CuO Б) H2 В) NaBr Г) KOH | РЕАГЕНТЫ 1) O2, NO, BaSO4 2) SO2, Na2O, P 3) Cu, HCl, C 4) LiNO3, Fe2O3, Al 5) Cl2, AgNO3, H2SO4 (конц.) |
Установите соответствие между реагирующими веществами и продуктами, которые образуются при взаимодействии этих веществ: к каждой позиции, обозначенной буквой, подберите соответствующую позицию, обозначенную цифрой.
| РЕАГИРУЮЩИЕ ВЕЩЕСТВА А) SiO2 + HF Б) MgO + Si В) Mg2Si + H2O Г) SiO2 + Mg | ПРОДУКТЫ РЕАКЦИИ 1) MgO + Mg2Si 2) Mg2Si + SiO 3) SiF4 + H2O 4) SiH4 + Mg 5) SiH4 + F2 6) SiH4 + Mg(OH)2 |
Задана следующая схема превращений веществ:
Определите, какие из указанных веществ являются веществами X и Y.
1) SiO2
2) Cl2
3) O2
4) SiCl4
5) SiO
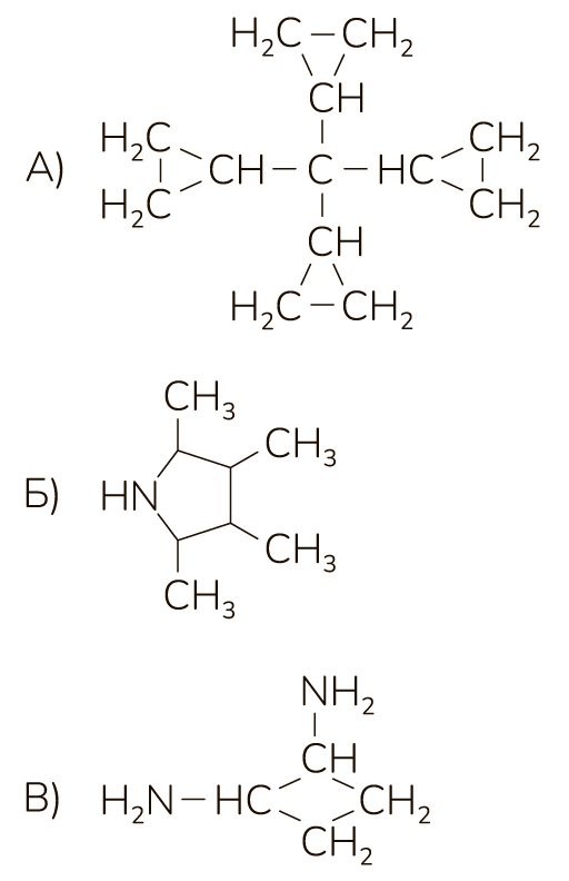
Установите соответствие между структурной формулой вещества и классом / группой органических соединений, к которому(-ой) оно может быть отнесено: к каждой позиции, обозначенной буквой, подберите соответствующую позицию, обозначенную цифрой.
СТРУКТУРНАЯ ФОРМУЛА ВЕЩЕСТВА![]() | КЛАСС / ГРУППА ОРГАНИЧЕСКИХ ВЕЩЕСТВ 1) вторичные амины 2) алканы 3) первичные амины 4) циклоалканы |
Из предложенного перечня выберите два вещества, в молекулах которых не все атомы лежат в одной плоскости.
1) бензол
2) пропин
3) циклобутан
4) ацетилен
5) дивинил
Запишите номера выбранных ответов.
Из предложенного перечня выберите все вещества, которые взаимодействуют с водным раствором гидроксида натрия.
1) ацетат аммония
2) метоксиэтан
3) 1,1-дихлорэтан
4) изопрен
5) фенол
Запишите номера выбранных ответов.
Из предложенного перечня выберите два вещества, каждое из которых взаимодействует и с гидроксидом натрия, и с соляной кислотой.
1) втор-бутиламин
2) аланин
3) изолейцин
4) глюкоза
5) хлорид фенилэтиламмония
Запишите номера выбранных ответов.
Установите соответствие между названием алкина и продуктом его взаимодействия с водой: к каждой позиции, обозначенной буквой, подберите соответствующую позицию, обозначенную цифрой.
| НАЗВАНИЕ АЛКИНА А) 1,2-дициклогексилацетилен Б) 2,5-диметилгексин-3 В) циклогексилэтин Г) гексадиин-1,5 | ПРОДУКТ РЕАКЦИИ 1) 1-циклогексилэтанон-1 2) 2,5-диметилгексанон-3 3) гександион-2,5 4) гександион-2,4 5) 1,2-дициклогексилэтанон-1 6) 2,5-диметилгексанон-2 |
Установите соответствие между веществом и продуктом его окисления подкисленным раствором перманганата калия: к каждой позиции, обозначенной буквой, подберите соответствующую позицию, обозначенную цифрой.
| ВЕЩЕСТВО А) 4-метилпентен-3-ол-1 Б) 5-метилциклогександиен-1,3 В) 3-метилпентен-2 Г) 1,2-диметилциклогексен-1 | ПРОДУКТ РЕАКЦИИ 1) адипиновая кислота 2) бутанон 3) малоновая кислота 4) бутановая кислота 5) 2-метилбутандиовая кислота 6) октандион-2,7 |

